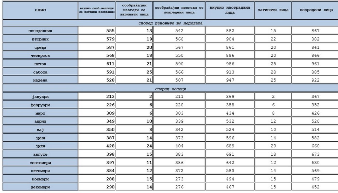
Секој учесник во сообраќајот треба да внимава не само заради другите туку пред сѐ заради сопствената безбедност, иако секојдневно се случуваат голем број на несреќи поради различна причина. Според последната анализа направена од Министерството за внатрешни работи во 2017 година најмногу сообраќајки со потешки последици се прават во петок и во сабота во неделата. Јули е месец со најмногу сообраќајки и загинати
Од вкупно 4.019 сообраќајни незгоди со потешки последици најмногу се случиле во градска средина (улица) – 2.560. Тука имало и најмногу настрадани и повредени лица (3.537 – 2.519).
Најкритичен период за возење е од 14 до 18 часот. Тоа се периоди кад еима и најмногу сообрачајни незгоди со потешки последици и најмногу повредени.
За време на викендите има најмногу сообраќајки и повредени лица. Сепак предничат петок и недела (961 и 922 повредени лица)
Според последната статистика на Министерството за внатрешни работи во 2017 година вкупната штета предизвиката од сообраќајните несреќи била во вредност од 116.803.187 (околу 1,9 милиони евра).
https://24auto.mk/vesti/makedonija/soobrakajkite-vo-makedonija-napravile-shteti-od-2-milioni-evra/
Анализата на МВР утврдила дека најголем дел од сообраќајните несреќи со потешки последици во 2017 година биле поради грешки на возачите – 3.918, а поради грешки на пешаците – 101.
Најчестите причини за сообрачајките се:
* брзо возење – 759
* предимство на минување – 574
* не држење страна и правец – 462
* неправилно двиќење, свртување – 462
*управување под дејство на алкохол – 300

Најмногу настрадани лица има поради брзо возење – 1.326, а потоа е првенството на минување – 940.
Поради грешки на возачите биле повредени 6.266 лица, а имало и 150 загинати.









